23岁的陶义冉是华中科大口腔医学院一名医学生。2021年11月,正在上课的她接到湖北省红十字会骨髓库的电话,得知自己和一位13岁的白血病女孩骨髓配型成功,感到既激动又幸福。
生怕父母因不理解骨髓捐赠而担心、顾虑和反对,陶义冉纠结了很久,想好对策以后终于拨通了父亲的电话。让她没有想到的是,父亲在电话那头坚定地说:“救人是好事,我们支持你的决定,在保证安全的情况下一定要全力以赴!”
为了促进造血干细胞大量生长并释放到外周血中,9月9日,陶义冉提前住进华中科技大学同济医学院附属同济医院,连续注射9次动员剂。13日上午8:30,她正式开始采集造血干细胞,“感觉身体有酸痛的感觉,但都在可承受的范围内。同时又感到很幸福,自己在挽救生命的道路上终于走到了最后一步,期待千里之外的花季少女的生命可以重获新生”。
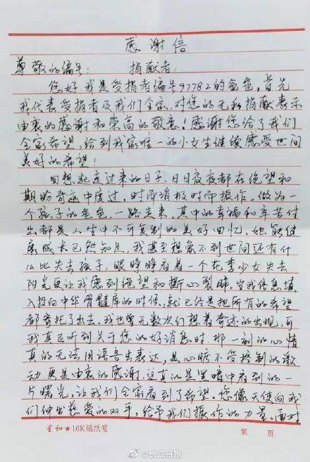
当天,小女孩的父亲特地托医务人员捎来了感谢信:“感谢您给了我女儿第二次生命的机会,也很高兴我们有缘血脉相连。我唯一的女儿现在才13岁,一个本该天真烂漫的年纪,却不幸罹患重病……我愿将这温暖和祝福永远传递,感染身边的每一个人,汇聚更多共同的力量,帮助那些需要帮助的人……”(长江日报)
来源:长江日报
